Get all your news in one place.
100’s of premium titles.
One app.
Start reading
Forbes
Forbes
Business
William A. Haseltine, Contributor

STING-Mediated Innate Immunity: How One Discovery Unlocked New Possibilities

Magnified image of a Bee Stinger. Getty Images/iStockphoto

This is part of a series on Covid-19 and inflammation related to severe disease and Long Covid.

When an individual is first exposed to Covid-19, STING (stimulator of interferon genes) proteins play an important role in generating a rapid innate immune response. Studies increasingly show that these proteins may be useful therapeutic targets not only against viral infection but also other medical conditions including cancers that damage healthy cells. Activating STING, however, requires second messenger molecules to bind onto the protein. In the body, cells have DNA sensors called cyclic GMP-AMP synthase (cGAS), which recognize foreign DNA in the cytoplasm and trigger the production of cyclic dinucleotides (CDNs). These cyclic dinucleotides are the second messengers that activate STING. Several clinical trials treating cancer have already been successful using molecules derived from the hybrid cyclo-(AMP-GMP) (cGAMP), one of the most potent STING agonists.

Considering the limitations and possible side effects of administering cyclic dinucleotides, only a few useful agonists have been identified. However, as we previously reported in this series, cyclic dinucleotides are not the only molecules that activate STING. Small molecules known as benzothiazinones also seem to bind strongly to STING and activate its immune properties. In this part of the series, we will delve deeper into the structure of these molecules and their role in mediating innate immunity.

The initial discovery of these potent STING activators came from a study published in the European Journal of Medicine. Pyrde et al. began their investigation with a series of benzothiazinones compounds that had previously been identified as potent antibacterial candidates for treating severe bacterial infections such as tuberculosis. Initial forms of these molecules, however, only weakly activated STING. Rather than looking elsewhere, investigators speculated whether these compounds could be modified to bind better to STING.

The biggest challenge with designing drugs that activate STING is that the structure of this protein not only varies between different species but also within species. Humans, for example, can have one of several naturally occurring variations of STING categorized by haplotype. 99% of the population has one of the five major STING haplotypes: H232, R232, HAQ, Q and AQ. Any drug targeted towards STING would need to be highly effective against all five of these haplotypes.

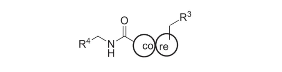
In a previous investigation, Pryde et al. discovered that introducing simple substitutions on a benzothiazinone molecule like compound 4 (not shown) could transform it from being a weak activator of the HAQ STING haplotype to one that was highly potent. Investigators, therefore, used compound 4 as a template for identifying other STING agonist candidates. Starting from this template (shown below), they modified both R groups (R4 and R3), as well as the core. Fourteen different compounds were identified from this first set of experiments, ranging from -1% to 116% activation of STING compared to the template molecule. Those with reported -1% activation somehow performed worse than the initially weak compound 4 agonist.

Figure: Schematic diagram of the benzothiazinone template derived from the structure of compound 4. R groups (R3 and R4) and core were changed to create different compounds. From: “The discovery of potent small molecule activators of human STING” Pryde et al. 2021

Pryde et al. realized that they could optimize some of these compounds by keeping the most effective R groups and only changing the core. These experiments produced another 13 compounds, with activation strengths ranging from 5% to 102%. All these compounds successfully activated the three most common STING haplotypes, H232, HAW and R232, suggesting that they may be useful drug candidates for activating STING-mediated innate immunity.

Figure: Table illustrating some of the featured core substitutions that produced potent STING agonists, including compound 53 (C53). From: “The discovery of potent small molecule activators of human STING” Pryde et al. 2021

To determine how effective these agonists could be in regulating immunity, investigators selected compound 53 (C53) from the previous table for further testing. This small compound showed high potency across all five main human STING haplotypes, as well as those found in monkeys. Interestingly, C53 did not seem to activate mouse STING. Still, given the 81% similarity to human STING, Pryde et al. used rodent models to evaluate how C53 reacted in the body. These results confirmed that this compound could remain stable as it is absorbed in the body. Most importantly, they found that the C53 was particularly selective for STING, making it a good candidate for further research.

How does this compare to human STING? Since it is too early to perform human clinical trials using these newly discovered compounds, Pryde et al. instead exposed C53 to human embryonic kidney cell samples generated in a lab. The effectiveness of the compound was determined by how well C53 could trigger phosphorylation, or activation, of STING proteins within the cell samples. Based on the pre-established pathway of STING-mediated immunity, we know that the activation of STING begins with the binding of cGMAP. As it further activates, individuals STING dimers come together to form a tetramer structure, important for recruiting a specialized protein kinase called TBK1. TBK1 importantly phosphorylates STING, as well as interferon regulatory factor proteins that then enter the nucleus to enhance immune regulation.

In this experiment, Pryde et al. observed the phosphorylation of both STING and interferon regulatory factors across all the STING variants tested. The activation of STING also correlated with the recruitment of several cytokines, confirming that C53 can in fact stimulate the immune system. In particular, this included the production of several type 1 interferon cytokines important for not only fighting infection in damaged cells but also protecting nearbering healthy cells. Cytokine activity remained high even after 24 hours.

C53 is only one of several potent STING agonists identified in this study. Understanding the structure of these compounds may be the key to uncovering more candidates for treatment. These compounds, however, are not a replacement for the second messenger cGAMP. Instead, it seems that both are needed to fully activate STING. cGAMP first binds to the ligand-binding domain on individual STING dimers, which then prompts the binding of C53-like compounds to a second binding site within the transmembrane domain. A recent study from UT Southwestern discovered that binding to STING’s transmembrane domain in this second step is critical for forming STING tetramers and triggering the rest of the inflammatory pathway. In the figure below, Lu et al. show where cGAMP and C53 respectively bind to fully activate STING.

Figure: Representation of STING oligomer with both C53 (labeled in pink) and cGAMP (labeled in cyan) bound to the transmembrane domain and ligand-binding domain, respectively. FROM: “ACTIVATION OF STING BY TARGETING A POCKET IN THE TRANSMEMBRANE DOMAIN.” LU ET AL. 2022

In addition to fighting Covid-19 infection, synthesizing drugs that activate STING-mediated innate immunity could also be useful against some cancers. Now, the next question is how can we capitalize on these findings to create targeted, fast-activating drugs? Although we are still in the early phases of identifying effective STING-mediated treatments, researchers are hopeful that future discoveries will save millions of lives.

Sign up to read this article
Read news from 100’s of titles, curated specifically for you.
Already a member? Sign in here
Related Stories
Top stories on inkl right now
One subscription that gives you access to news from hundreds of sites
Already a member? Sign in here
Our Picks
Fourteen days free
Download the app
One app. One membership.
100+ trusted global sources.